Fulham Has Highest Number of Million Plus Home Sales


SW6 heads London's top ten areas with 335 sales in 2013

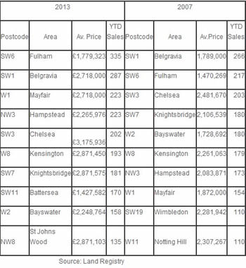
Fulham was the London area with the highest number of million pound plus property sales in 2013, with a total of 335 homes changing hands.

The SW6 postcode area came above SW1, with 287 million plus sales, W1 with 223, and neighbouring Chelsea with 202, according to Land Registry figures.

The figures are revealed in new research by agents Hamptons International, which found activity in the million plus sector of the market, which has been less affected by mortgage finance constraints, has grown faster than the overall market in every region in the UK except for the North East and Wales this year.

Perhaps unsurprisingly, the growth in the £1 million plus sector is led by London, with 70% of homes in this price bracket are situated in the capital.

And while Central London dominates the £1 million plus property sales the agent says the popular South West London suburb of Fulham tops the list with 335 sales and   Battersea, a regeneration area, also makes it into the top ten. 

Million Plus Home Sales in London in 2013

Hamptons also says the overall number of million pound home sales in 2013 is 10% higher than the pre-crash peak year of 2007, with 9,700 sales in the last year, compared with 8,900 in 2007.

In Fulham the difference is even more marked, with a rise in sales of over 50%. In 2007 SW6 was second in London's top ten areas, with 217 million plus homes changing hands.

Fionnuala Earley, Research Director at Hamptons International, says of the findings: "The overall housing market is recovering but the £1 million plus market is outperforming all other sectors.  Lower dependence on mortgage finance is a major reason for this extra buoyancy, which has raised activity in this sector above 2007 levels. 

"Rising house prices are not responsible for more sales drifting into this category either - the average house price in England and Wales is still nine per cent lower than in 2007.

" As a global city attracting wealth from around the world, it’s no surprise to see more £1 million plus sales in London than anywhere else in England and Wales. Interestingly, some new hotspots have emerged in this market sector since 2007.  Battersea and St Johns Wood now feature in the top ten, while Wimbledon and Notting Hill are now absent."

January 6, 2014

Related links

Related Links

House for Sale in Felden Road in Fulham

Six bedroom house for sale in Felden Road, SW6 through Hamptons for £1.995,000

Property For Sale in Fulham

Property To Rent in Fulham

Hamptons International

Latest Sales in Fulham

Estate Agents in Fulham